Early metal exposure linked to autism using baby teeth
Exposure to toxic metals, like lead, have been linked to intellectual disability, and language, and behavioral problems, but the results of studies looking at whether toxic metals influence Autism Spectrum Disorders (ASDs) have been mixed. Other metals like manganese and zinc are essential minerals important for proper development and health. Until now, one of the difficulties has been that levels of metal exposure are often only measured after a child has received an ASD diagnosis, However, Sven Bölte and colleagues realized that after a child receives an ASD diagnosis, they could determine their early exposure to heavy metals by looking at the levels of the metals in the child’s baby teeth, as they describe in a paper published last month in Nature Communications.

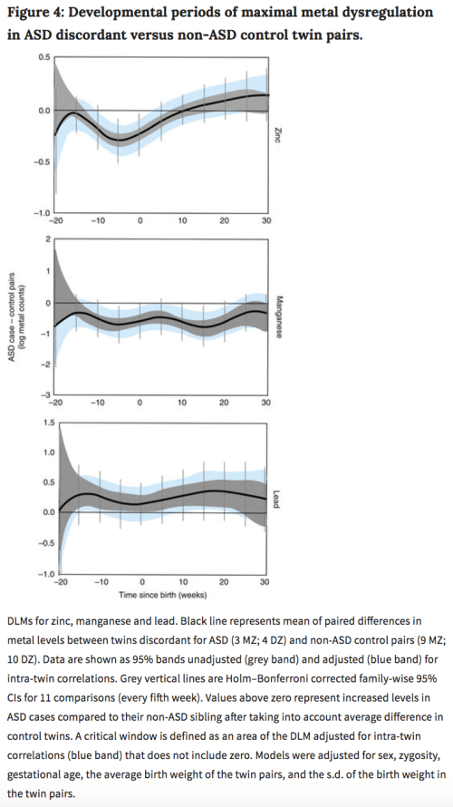
Baby teeth develop in the womb and early life and trap and store metals that are present while they develop. Bölte’s team used a laser to sequentially remove small layers dentine from teeth at different depths, and then they fed each layer into a mass spectrometer to measure levels of the metals lead, zinc, and manganese. Each layer of dentine corresponds to a different period of development, so the amount of metal detected in that layer correlates to the level of metal exposure or metal uptake during that developmental period.

Bölte and colleagues analyzed the developmental metal exposure of three groups of twins: discordant twins where only one twin had an ASD, those where both twins had ASDs, and those where neither twin had an ASD. They found that in the discordant twins, the twin with autism had higher levels of lead and lower levels of manganese and zinc, though these findings were only statistically significant during certain time windows.

Bölte’s team also found that children with lower levels of manganese and higher levels of lead scored higher on ratings of autism severity. This study shows that exposure to lead in the womb and early development may be an important non-genetic factors influencing autism
Filed under: Uncategorized | Leave a Comment
No Responses Yet to “Early metal exposure linked to autism using baby teeth”